
第一作者:高俊文
通讯作者:高俊文
发表期刊:Physical Review A
期刊 Impact Factor: 2.9
通讯单位:杭州师范大学
论文DOI:10.1103/PhysRevA.109.012801
成果简介:
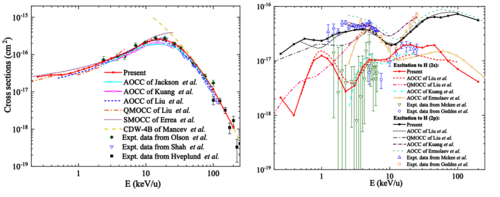
氢、氦等低Z元素及其离子是天体物理和聚变等离子体的重要组成成分。在磁约束聚变科学中,中性束注入是一种用于加热或诊断等离子体的常规方法。对束流穿透进入等离子体以及发射的X射线光谱的模拟分析依赖于在离子同原子碰撞中电子过程的详细截面参数。另一方面,从基础的角度来看,He+-H这样的碰撞系统,研究其碰撞中两个不同中心下的电子间的动态关联效应也具有一定挑战性和重要性。
本研究工作中,我们采用自主发展的非微扰全电子强耦合理论方法,开展 He+ 离子同 H原子碰撞中发生的电子俘获和靶激发的过程。我们的研究结果与现有的实验数据整体上符合的很好,而且还将截面参数扩展到了高激发态和较高能区。研究重点关注了 nl 壳层态分辨的电子俘获及激发过程,并对激发过程截面中观察到的随碰撞能量变化而振荡的结构进行了详细解释:这些结构是由在自旋单重态和自旋三重态中激发至H(2s)和H(2p0) 两个电子过程之间的相位干涉以及在自旋单重态中电子俘获至He(1s2p 1P, |ML|=1)和激发至H(2p1)之间的相位干涉所导致。研究结果对于理解离子同原子碰撞中的复杂动力学过程具有重要意义,并为天体物理和聚变等离子体等相关研究领域提供了新的参考数据。
本工作感谢国家自然科学基金项目、杭州师范大学科研启动经费的资助。
地址:杭州市余杭区余杭塘路2318号勤园19号楼
邮编:311121 联系电话:0571-28865286
Copyright © 果冻传媒-官方果冻传媒精品国产剧情片
公安备案号:33011002011919 浙ICP备11056902号-1
学院官微